生分解性キレート剤 (HIDS®) 3-ヒドロキシ-2,2’-イミノジコハク酸4ナトリウム
- 主な用途
衣料洗浄剤、業務・工業用洗浄剤、繊維処理剤、漂白助剤、水処理剤、写真薬剤、紙・パルプ用添加剤、鋼板洗浄剤、半導体洗浄剤、アルミケース沈着防止(アルミエッチング)、メッキ前処理剤(脱脂剤、脱錆剤)、土壌改質剤、化粧品原料等
- 用途分類
- 機能分類
基本情報
| 構造式 | ![]() |
|---|---|
| 化学式 | C8H7NO9・4Na |
| CAS No. | 190195-65-4 |
| 分子量 | 353.1 |
| 外観 | 淡黄色液体 |
| 製品形態 | 50w%水溶液 |
| pH | 10±1(25℃) |
| 比重 | 1.40~1.60(20℃) |
カタログ
特長・特性
- 生分解性キレート剤 (HIDS®)は広いpH範囲で、CaのみならずFe、Cuなどの重金属イオンを効果的に不活性化し、水に含まれる金属イオンによるトラブルを防止します。
- 高い熱安定性、高濃度アルカリ水に対する良溶解性、ガラスに対する低腐食性は、工業用・家庭用洗浄剤などに添加するキレート剤として優れた性能を発揮します。
- トップクラスの生分解性、安全性を兼ね備えた生分解性キレート剤 (HIDS®)は、人と環境にやさしい環境調和型キレート剤です。
用途例
衣料洗浄剤、業務・工業用洗浄剤、繊維処理剤、漂白助剤、水処理剤、写真薬剤、紙・パルプ用添加剤、鋼板洗浄剤、半導体洗浄剤、アルミケース沈着防止(アルミエッチング)、メッキ前処理剤(脱脂剤、脱錆剤)、土壌改質剤、化粧品原料等への応用が期待されます。
当該用途についての法的規制、業界自主基準などへの遵守や適正な使用方法は、お客様が調査の上、適用をお願いいたします。
機能詳細
酸解離定数とキレート安定度定数
| 酸解離定数 | pKa1:2.83 pKa2:3.56 pKa3:5.15 pKa4:9.11 |
|---|---|
| 安定度定数 | pKaCa2+:4.8 pKaFe3+:12.5 |
| C.V.値 | 300mg CaCO3/g |
Fe3+キレート能
生分解性キレート剤 (HIDS®)は広いpH範囲にわたって種々の金属イオンと安定な水溶性錯体を形成します。特にアルカリ性溶液におけるFe3+キレート能に優れています。
| 試験液 | キレート剤 0.01M Fe3+ 0.01M |
|---|---|
| 温度 | 室温 |
| 試験方法 | 試験液を室温で7日間放置したのち、沈殿物(Feの水和物)をフィルターろ過して除去し、ろ液中のFe3+濃度を測定した。 |

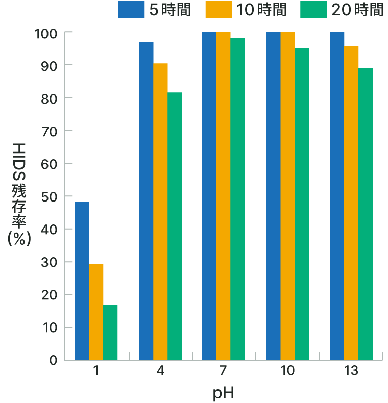
熱安定性およびpH安定性
キレート剤は広範な用途で使用されるため過酷な環境に曝されるケースがありますが、生分解性キレート剤 (HIDS®)は高温かつpH4~13の範囲において安定です。
| 試験液 | 生分解性キレート剤 (HIDS®) 10% |
|---|---|
| 温度 | 80℃ |
| 試験方法 | 試験液を80度に保ち、一定時間ごとにサンプリングし、残存生分解性キレート剤 (HIDS®)を液体クロマトグラフィーで定量した。 |

アルカリ水溶液への溶解度
生分解性キレート剤 (HIDS®)はアルカリ水溶液に対して溶解性が高い性質を持っています。特に高濃度アルカリ水溶液に可溶化剤の添付なしで生分解性キレート剤 (HIDS®)を配合することが期待できます。
| 温度 | 0℃ |
|---|

不溶性カルシウム塩溶解能
生分解性キレート剤 (HIDS®)はスケールの主成分である、水不溶性カルシウム塩を溶解させることができます。タンクや配管などに生じたスケールの除去や、スケール生成の抑制に効果的です。
| 試験液 | 水不溶性カルシウム化合物 0.6% キレート剤 0.2% NaOH 3% |
|---|---|
| 温度 | 80℃ |
| 試験方法 | 試験液を80℃で1時間攪拌したのち、溶解したCa2を定量した。 |

ガラスの腐食性
生分解性キレート剤 (HIDS®)は他のキレート剤に比べてガラスに対する腐食性が低い性質を持っています。
| 試験液 | NaOH 10% キレート剤 3% |
|---|---|
| 試験片 | スライドガラス |
| 温度 | 100℃ |
| 試験方法 | 試験液に試験片を入れて100℃に保ち、3日後に試験片を抜き出して水洗した。 腐食評価は単位面積当たりの重量変化により行った。 |

環境影響
| 生分解性 | 良分解(*1) |
|---|---|
| 魚毒性 | LC50 ≧2,000ppm以上(ヒメダカ96hr)(*1) |
安全性
| 急性毒性 | 経口毒性 LD50>2,000mg/kg(*1) |
|---|---|
| 局所効果 | 皮膚一次刺激性なし (Pll=0.4(45wt%)、Pll=0(35wt%)、Pll=0(10wt%)、Pll=0(89wt% , powder))(*1) 眼一次刺激性なし(*1) |
| 感作性 | 感作性なし(*1) |
| Ames試験 | 陰性(*1) |
規制法令
| 化審法 | (2)-3803 |
|---|---|
| 安衛法 | 2-(4)-945 |
| TSCA | 収載 |
取り扱いの注意
- 眼、皮膚および衣類に触れないように適切な保護具を着用した上でご使用ください。
- 貯蔵は直射日光を避け、密閉して保存してください。
保護具
眼の保護具:保護眼鏡、ゴーグル、プラスチック製顔面シールド手の保護具:保護手袋皮膚及び身体の保護具:保護衣、保護靴
上記データ類は、SDS(HPJ-1521-00-01)からの抜粋です。本開発品の安全上の内容は、化学品安全データシート(SDS :HPJ-1521-00-00)に記載しておりますので、弊社お問い合わせ先にご請求の上、ご確認ください。
